【Chem Sci】在等網狀超微孔MOF中的逐步氟化提高CO2/N2選擇性
發布日期:2024-06-11 來源:貝士德儀器
全文速覽
背景介紹
晶體結構
要點:如圖1a-c所示,在ab平面上,通過將Zn二聚體與雙齒BDC型配體橋接,構建了二維正方形網格。槳輪單元由DABCO分子的氮原子沿c軸連接,從而將平面網絡擴展為三維結構。然而,它們的空間群并不相同,DMOF-1F屬于I4/mcm空間群,而DMOF-2F與DMOF-0F一樣在P4/mmm空間群中結晶。晶體中,xFBDC (x = 1或2)和tmBDC配體無序共存,取向不同,x = 1時的二面角為73.70°,x = 2時的二面角為50.67°(圖1d)。這三種MOF都具有大的3D互連空洞,沿著c軸的一維通道,窗口穿過a和b軸。雖然氟原子略微突出到通道中,但孔隙和窗口的大小差異很小,三種MOF的平均直徑約為0.6 nm。預計孔隙中氟原子的表面密度對各種氣體分子的親和力有顯著的效應,這將在吸附等溫線中表現出來。
PXRD和FT-IR
要點:如圖2a所示,三種合成MOF的PXRD譜圖吻合良好,無微量雜質峰。利用傅里葉變換紅外光譜(FT-IR)研究了合成的MOF的化學結構。在圖2b中,749 cm?1處的峰值可歸因于雙核槳輪單元的Zn-O鍵的伸縮振動。1619 cm?1處的峰為羧基的伸縮振動,而1057 cm?1處的峰為DABCO分子中N-C3鍵的不對稱伸縮振動。此外,在含氟MOF中,在1227 cm?1 (DMOF-1F)和1184 cm?1 (DMOF-2F)處觀察到C-F的伸縮帶。在室溫~ 600℃的N2氛圍下,用熱重分析儀評價了所合成的MOF的熱穩定性。圖2c展示了相似的熱重曲線,在200℃以下表現出較大的重量損失主要是由于去除了通道和顆粒表面的溶劑分子。在200至300℃之間有一個平臺期,可能由于去除對苯二甲酸或DABCO分子而失重。
N2吸附
要點:如圖3a所示,三種MOF在低壓區呈現出急劇增加的趨勢(P/P0 < 0.01),表明整個框架中存在豐富的永久性微孔。隨后,它們在相對壓力0.1-0.8范圍內表現出可忽略不計的N2吸附量,在IUPAC分類中具有典型的i型等溫線。在高壓區(P/P0 > 0.9), 3條等溫線均略有升高,說明顆粒松散堆積導致顆粒間空隙形成了大孔隙。利用微孔分析(MP)方法計算的孔徑分布表明,三種MOF具有明顯的超微孔,孔徑約為0.6 nm(圖3b),這與晶體學數據(約0.6 nm)的預期一致。
氣體吸附
要點:圖4a和b分別顯示了在298和273 K下采集的三種MOF的CO2吸附等溫線。在這兩種溫度下,所有MOF在整個壓力區域的CO2吸附量都呈逐漸增加的趨勢,且滯后較小,表明物理吸附占主導地位。它們表現出相對較高的CO2吸附量,273 K下CO2吸附量的順序為:DMOF-0F (102.1 cm3 g?1,4.55 mmol g?1,20.0 wt%) < DMOF-1F (106.1 cm3 g?1,4.73 mmol g?1,20.8 wt%) < DMOF-2F (107.4 cm3 g?1,4.79 mmol g?1,21.1 wt%)??赡娴葴鼐€表明,所研究的MOF可以在不需要任何額外熱能的情況下釋放吸附的CO2分子,這有利于多孔材料在實際中的CO2捕獲和再生。如圖4c所示,DMOF-0F的Qst值為17.2 - 25.7 kJ mol?1,DMOF-1F的Qst值為19.1-25.5 kJ mol?1,DMOF-2F的Qst值估計為20.2-26.7 kJ mol?1,這取決于CO2負載的程度,這是MOF對CO2吸附的典型范圍。值得注意的是,低于化學鍵能的Qst值再次表明了物理吸附過程(<40 kJ mol?1),有利于上述CO2氣體的可控釋放。
氣體吸附
要點:值得注意的是,為了從燃煤電廠的煙氣中去除二氧化碳(也稱為燃燒后的二氧化碳捕獲),二氧化碳的濃度必須降低到相對于N2的一定水平。因此,有必要探索具有高CO2/N2選擇性的吸附劑,以便在這種條件下有效捕獲CO2。如圖5a-c所示,在273 K時,CO2的吸附量明顯高于N2,根據初始斜率法估計,DMOF-0F、DMOF-1F和DMOF-2F的CO2/N2選擇性分別為8.4、11.3和14.8(圖5d-f)。雖然DMOF-1F和DMOF-2F涉及CH···F氫鍵,但C-H基團位于快速旋轉的DABCO配體中,這可能允許xFBDC配體與CO2分子之間有效的CF···C(CO2)相互作用。該研究成功提高了CO2/N2選擇性,主要是通過控制BDC配體中氟原子的數量,同時適當地保持多孔性(0.41 ~ 0.48 cm3 g?1)。因此,本結果首次證明了氟化超微孔MOFs通過控制氟含量,在顯著水平上控制CO2/N2的選擇性。
選擇性和吸附位點
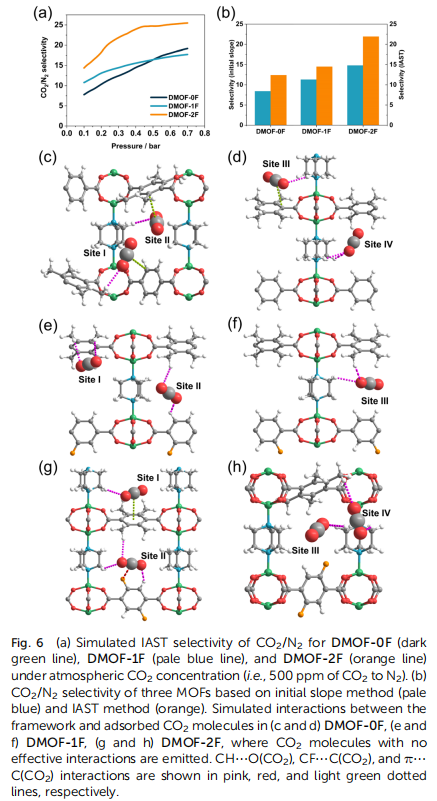
要點:為了證明這三種MOF捕獲微量CO2的能力,使用IAST計算了它們在大氣濃度(CO2為500 ppm)下的CO2/N2選擇性。如圖6a所示,CO2/N2的選擇性隨氟化作用的不同而變化,并隨壓力的增加而增加。低壓區(<0.3 bar)的選擇性依次為DMOF-0F (12.4) < DMOF-1F (14.5) < DMOF-2F(21.9),這與初始斜率法得到的結果一致(圖6b)。DMOF-0F和DMOF-1F之間的差異(2.1)不如DMOF-1F和DMOF-2F之間的差異(7.4)明顯,這與計算的Qst值一致。假設在P/P0 = 0.3的溫度下,晶胞內每個1D通道中有4個CO2分子,對MOF的幾何結構進行了優化。在DMOF-0F中,tmBDC或DABCO配體與CO2分子之間存在多個CH···O(CO2)氫鍵相互作用,H···O距離分別為2.88 ? (Site I)、2.89 ? (Site II)、2.94 ? (Site III)、2.97和3.01 ? (Site IV)(圖6c和d)。這種相互作用在負載CO2的 DMOF-1F框架中被發現,距離為3.02和3.04 ? (Site I), 2.98和2.98 ? (Site II), 2.90和3.00 ? (Site III)(圖6e和f)。此外,DMOF-0F在CO2分子與BDC配體苯環之間表現出多種π···C(CO2)相互作用,最近的C···C距離為3.45 ? (Site I), 3.60 ? (Site II)和3.53 ? (Site III)。然而,在DMOF-1F的孔隙中,雖然在CO2分子中帶負電荷的氟原子和帶正電荷的碳原子之間存在庫侖引力,但在氟原子和CO2分子之間沒有明顯的相互作用。在DMOF-2F(圖6g和h)中,孔隙中的CO2分子與氟原子表現出顯著的相互作用,F···C距離為3.33 ?(Site II)。因此,CF···C(CO2)相互作用在DMOF-2F中比DMOF-0F和DMOF-1F具有更高的CO2/N2選擇性中起著關鍵作用。
總結與展望
原文鏈接:https://doi.org/10.1039/d4sc01525h
貝士德 吸附表征 全系列測試方案

測樣、送檢咨詢:楊老師
138 1051 2843(同微信)
【Chem Sci】在等網狀超微孔MOF中的逐步氟化提高CO2/N2選擇性
發布日期:2024-06-11 來源:貝士德儀器
全文速覽
背景介紹
晶體結構
要點:如圖1a-c所示,在ab平面上,通過將Zn二聚體與雙齒BDC型配體橋接,構建了二維正方形網格。槳輪單元由DABCO分子的氮原子沿c軸連接,從而將平面網絡擴展為三維結構。然而,它們的空間群并不相同,DMOF-1F屬于I4/mcm空間群,而DMOF-2F與DMOF-0F一樣在P4/mmm空間群中結晶。晶體中,xFBDC (x = 1或2)和tmBDC配體無序共存,取向不同,x = 1時的二面角為73.70°,x = 2時的二面角為50.67°(圖1d)。這三種MOF都具有大的3D互連空洞,沿著c軸的一維通道,窗口穿過a和b軸。雖然氟原子略微突出到通道中,但孔隙和窗口的大小差異很小,三種MOF的平均直徑約為0.6 nm。預計孔隙中氟原子的表面密度對各種氣體分子的親和力有顯著的效應,這將在吸附等溫線中表現出來。
PXRD和FT-IR
要點:如圖2a所示,三種合成MOF的PXRD譜圖吻合良好,無微量雜質峰。利用傅里葉變換紅外光譜(FT-IR)研究了合成的MOF的化學結構。在圖2b中,749 cm?1處的峰值可歸因于雙核槳輪單元的Zn-O鍵的伸縮振動。1619 cm?1處的峰為羧基的伸縮振動,而1057 cm?1處的峰為DABCO分子中N-C3鍵的不對稱伸縮振動。此外,在含氟MOF中,在1227 cm?1 (DMOF-1F)和1184 cm?1 (DMOF-2F)處觀察到C-F的伸縮帶。在室溫~ 600℃的N2氛圍下,用熱重分析儀評價了所合成的MOF的熱穩定性。圖2c展示了相似的熱重曲線,在200℃以下表現出較大的重量損失主要是由于去除了通道和顆粒表面的溶劑分子。在200至300℃之間有一個平臺期,可能由于去除對苯二甲酸或DABCO分子而失重。
N2吸附
要點:如圖3a所示,三種MOF在低壓區呈現出急劇增加的趨勢(P/P0 < 0.01),表明整個框架中存在豐富的永久性微孔。隨后,它們在相對壓力0.1-0.8范圍內表現出可忽略不計的N2吸附量,在IUPAC分類中具有典型的i型等溫線。在高壓區(P/P0 > 0.9), 3條等溫線均略有升高,說明顆粒松散堆積導致顆粒間空隙形成了大孔隙。利用微孔分析(MP)方法計算的孔徑分布表明,三種MOF具有明顯的超微孔,孔徑約為0.6 nm(圖3b),這與晶體學數據(約0.6 nm)的預期一致。
氣體吸附
要點:圖4a和b分別顯示了在298和273 K下采集的三種MOF的CO2吸附等溫線。在這兩種溫度下,所有MOF在整個壓力區域的CO2吸附量都呈逐漸增加的趨勢,且滯后較小,表明物理吸附占主導地位。它們表現出相對較高的CO2吸附量,273 K下CO2吸附量的順序為:DMOF-0F (102.1 cm3 g?1,4.55 mmol g?1,20.0 wt%) < DMOF-1F (106.1 cm3 g?1,4.73 mmol g?1,20.8 wt%) < DMOF-2F (107.4 cm3 g?1,4.79 mmol g?1,21.1 wt%)??赡娴葴鼐€表明,所研究的MOF可以在不需要任何額外熱能的情況下釋放吸附的CO2分子,這有利于多孔材料在實際中的CO2捕獲和再生。如圖4c所示,DMOF-0F的Qst值為17.2 - 25.7 kJ mol?1,DMOF-1F的Qst值為19.1-25.5 kJ mol?1,DMOF-2F的Qst值估計為20.2-26.7 kJ mol?1,這取決于CO2負載的程度,這是MOF對CO2吸附的典型范圍。值得注意的是,低于化學鍵能的Qst值再次表明了物理吸附過程(<40 kJ mol?1),有利于上述CO2氣體的可控釋放。
氣體吸附
要點:值得注意的是,為了從燃煤電廠的煙氣中去除二氧化碳(也稱為燃燒后的二氧化碳捕獲),二氧化碳的濃度必須降低到相對于N2的一定水平。因此,有必要探索具有高CO2/N2選擇性的吸附劑,以便在這種條件下有效捕獲CO2。如圖5a-c所示,在273 K時,CO2的吸附量明顯高于N2,根據初始斜率法估計,DMOF-0F、DMOF-1F和DMOF-2F的CO2/N2選擇性分別為8.4、11.3和14.8(圖5d-f)。雖然DMOF-1F和DMOF-2F涉及CH···F氫鍵,但C-H基團位于快速旋轉的DABCO配體中,這可能允許xFBDC配體與CO2分子之間有效的CF···C(CO2)相互作用。該研究成功提高了CO2/N2選擇性,主要是通過控制BDC配體中氟原子的數量,同時適當地保持多孔性(0.41 ~ 0.48 cm3 g?1)。因此,本結果首次證明了氟化超微孔MOFs通過控制氟含量,在顯著水平上控制CO2/N2的選擇性。
選擇性和吸附位點
要點:為了證明這三種MOF捕獲微量CO2的能力,使用IAST計算了它們在大氣濃度(CO2為500 ppm)下的CO2/N2選擇性。如圖6a所示,CO2/N2的選擇性隨氟化作用的不同而變化,并隨壓力的增加而增加。低壓區(<0.3 bar)的選擇性依次為DMOF-0F (12.4) < DMOF-1F (14.5) < DMOF-2F(21.9),這與初始斜率法得到的結果一致(圖6b)。DMOF-0F和DMOF-1F之間的差異(2.1)不如DMOF-1F和DMOF-2F之間的差異(7.4)明顯,這與計算的Qst值一致。假設在P/P0 = 0.3的溫度下,晶胞內每個1D通道中有4個CO2分子,對MOF的幾何結構進行了優化。在DMOF-0F中,tmBDC或DABCO配體與CO2分子之間存在多個CH···O(CO2)氫鍵相互作用,H···O距離分別為2.88 ? (Site I)、2.89 ? (Site II)、2.94 ? (Site III)、2.97和3.01 ? (Site IV)(圖6c和d)。這種相互作用在負載CO2的 DMOF-1F框架中被發現,距離為3.02和3.04 ? (Site I), 2.98和2.98 ? (Site II), 2.90和3.00 ? (Site III)(圖6e和f)。此外,DMOF-0F在CO2分子與BDC配體苯環之間表現出多種π···C(CO2)相互作用,最近的C···C距離為3.45 ? (Site I), 3.60 ? (Site II)和3.53 ? (Site III)。然而,在DMOF-1F的孔隙中,雖然在CO2分子中帶負電荷的氟原子和帶正電荷的碳原子之間存在庫侖引力,但在氟原子和CO2分子之間沒有明顯的相互作用。在DMOF-2F(圖6g和h)中,孔隙中的CO2分子與氟原子表現出顯著的相互作用,F···C距離為3.33 ?(Site II)。因此,CF···C(CO2)相互作用在DMOF-2F中比DMOF-0F和DMOF-1F具有更高的CO2/N2選擇性中起著關鍵作用。
總結與展望
原文鏈接:https://doi.org/10.1039/d4sc01525h
貝士德 吸附表征 全系列測試方案

測樣、送檢咨詢:楊老師
138 1051 2843(同微信)