【Chem】調控金屬有機框架的孔隙化學用于苯的高效吸附和苯/環己烷分離
發布日期:2023-09-27 來源:貝士德儀器
全文概述
背景介紹
合成和穩定性測試
苯和環己烷的吸附行為

UiO-66-defect(2.55 mmol/g)比UiO-66(1.78 mmol/g)表現出更高的苯吸附量。而與UiO-66和UiO-66-defect相比,UiO-66-CuII對苯的吸附量提高了220%和154%,達到了3.92 mmol/g。該吸附量僅低于同等條件下的基準MOFs材料BUT-54(4.31 mmol/g)。說明Cu(II)位點的引入顯著增強了UiO-66-CuII對苯的吸附,為提高MOFs在低壓下對苯的吸附開辟了一條新途徑。相反,對于UiO-66-CuI,由于Cu(I)位點的Lewis酸性較弱,導致其對苯(2.74 mmol/g)的吸附量較低。11個MOFs對環己烷(在298 K和1.3 mbar條件下,1.27~2.46 mmol/g)的吸附量均低于苯,表明環己烷在這些MOFs中的結合作用較弱。
苯/環己烷液相分離研究
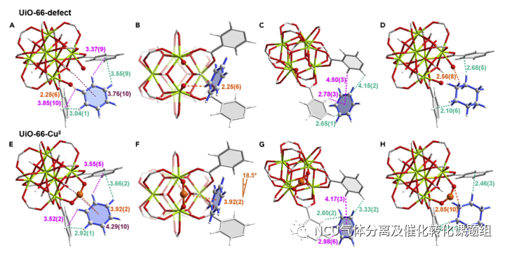
結合位點計算
總結與展望
貝士德 吸附表征 全系列測試方案
1、填寫《在線送樣單》
2、測樣、送檢咨詢:楊老師13810512843(同微信)
【Chem】調控金屬有機框架的孔隙化學用于苯的高效吸附和苯/環己烷分離
發布日期:2023-09-27 來源:貝士德儀器
全文概述
背景介紹
合成和穩定性測試
苯和環己烷的吸附行為

UiO-66-defect(2.55 mmol/g)比UiO-66(1.78 mmol/g)表現出更高的苯吸附量。而與UiO-66和UiO-66-defect相比,UiO-66-CuII對苯的吸附量提高了220%和154%,達到了3.92 mmol/g。該吸附量僅低于同等條件下的基準MOFs材料BUT-54(4.31 mmol/g)。說明Cu(II)位點的引入顯著增強了UiO-66-CuII對苯的吸附,為提高MOFs在低壓下對苯的吸附開辟了一條新途徑。相反,對于UiO-66-CuI,由于Cu(I)位點的Lewis酸性較弱,導致其對苯(2.74 mmol/g)的吸附量較低。11個MOFs對環己烷(在298 K和1.3 mbar條件下,1.27~2.46 mmol/g)的吸附量均低于苯,表明環己烷在這些MOFs中的結合作用較弱。
苯/環己烷液相分離研究
結合位點計算
總結與展望
貝士德 吸附表征 全系列測試方案
1、填寫《在線送樣單》
2、測樣、送檢咨詢:楊老師13810512843(同微信)